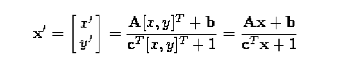
Images taken when a camera zooms, rotates, or pans about its optical axis are related by the projective coordinate transformation.( head motion)

But it also describes a rigid plane viewed at an arbitrary angle.
Use this to created Mediated Reality.